一、基础信息:
新癸酸乙烯酯,又称叔碳酸乙烯酯、英文简称VV 10,CAS号为 51000-52-3。它为无色油状透明液体,分子式为C12H22O2,密度0.875-0-885g/ml(20℃),凝固点<-60℃,沸点133-·136℃,折射率1.432-1.437,闪点75℃,粘度2.2mPa·s。水在该产品中的溶解度0.05%(m/m,20-80℃),醋酸乙烯与该产品完全混溶。均聚物玻璃化温度为-3℃。
二、分子结构:

叔碳酸乙烯酯是α-碳上高度支链化的饱和一元脂肪酸乙烯酯。新癸酸乙烯酯是一族有机酸乙烯酯,其中R1和R2是烷基,R1和R2的碳原子数的不同,当该分子总碳原子数为10时,为新癸酸乙烯酯VV 10 ;
三、产品技术指标:

四、产品特点:
叔碳结构具有四大典型特征:
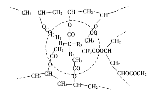
- 盾牌效应:由于叔碳基团的大空间位阻,它不仅可以保护自身,还可以保护聚合物中临近化学键(包括交联化学键)免于分解(如图所示),从而改善耐化学性和耐气候性。我们把这种作用称为盾牌效应,该效应使得其所形成的共聚物有出色耐水、耐碱、耐光分解和耐生物侵蚀的特点。
- 赋予聚合物良好的柔韧性:随着叔碳基团的总碳原子数和叔碳基团的支链化程度和结构不同,可以增强所在聚合物的刚性或柔性。新癸酸乙烯酯具有10个碳原子,其具有良好的柔韧性,均聚物玻璃化温度为-3℃。用这个特点可以生产低玻璃化温度的水性粘合剂、包装胶、防水胶和超低VOC环保涂料等等。
- 赋予聚合物良好的疏水性:由于叔碳结构的大体积-多支化-非极性叔碳基团特点,导致叔碳酸乙烯酯具有很低的水溶性,如图所示,叔碳单体在水中比其它单体低得多的溶解度。利用这个特点,我们可以用叔碳酸乙烯酯生产出耐水性很好的防水涂料、粘合剂,比如叔醋、叔丙的内外墙涂料。
- 降低所在聚合物表面的张力:由于叔碳结构的大体积-多支化-非极性叔碳基团特点,它的末端超支链化的结构,赋予叔碳酸乙烯酯具有良好的附着力。如图所示,随着叔碳基团在聚合物中量的增加,所在聚合物表面张力呈现下降趋势。利用这个特点,我们可以用叔碳酸乙烯酯生产出对膜基材具有良好附着力的粘合剂。


五、应用领域:
1、碳酸乙烯酯用于水性乳液合成,用于包装用粘合剂和木材用粘合剂中,可明显的提升产品的附着力和耐水性;
2、叔碳酸乙烯酯用于水性乳液合成,用于建筑涂料中,可明显的提升产品的耐水、耐候、耐盐雾和耐碱性;
3、叔碳酸乙烯酯用于水性乳液或者树脂的合成中,用于工业涂料、木器漆、金属漆、防腐漆,可明显的提升产品的耐水性、耐候性和耐盐雾性。
六、产品包装:
180KG/桶(塑料桶), 或者880KG ( IBC桶)



